Key points about quadratic inequalities

A quadraticDescribing an expression of the form ππ₯Β² + ππ₯ + π, where π, π and π are integers.inequalityA relationship between two expressions or values that are not equal. can be solved by factorising or using the quadratic formulaUsed to solve a quadratic equation in the form ππ₯Β² + ππ₯ + π . The values π, π and π are substituted into the formula. .
The solution to a quadratic inequality may be presented:
- as a single inequality, between two values
- as two separate inequalities
- on a number lineA line on which numbers are marked at equal intervals.
- listed as an integer solution, or a solution listed in set notationFor a solution where π₯ = 3, 4 or 5, this is written as π₯ = {3, 4, 5}. The curly brackets contain the solution list.
- graphically
It's important to remember that a square rootA value whose square is equal to a given number, eg one square root of 25 is 5 since 5Β² = 25. The square root of 25 is recorded as β25 = 5. However, as well as a positive square root, 25 has a negative square root, since (β 5)Β² = 25. has both positive and negative solutions. For example, β25 equals 5 and β5; and while β 6 is less than β5, (β6)Β² = 36 is greater than (β5)Β² = 25.
The roots and π¦-interceptsThe π¦-intercept is where a graph crosses the π¦-axis. The π₯-intercepts are where a graph crosses the π₯-axis. For a quadratic graph, the π₯-intercepts are the roots (or solutions) to the equation ππ₯Β² + ππ₯ + π = 0. help to sketch a quadratic equation and to solve a quadratic inequality. The direction of the inequality identifies the part of the graph that represents the solution.
Make sure you know how to solve quadratic equations to boost your confidence in this topic. Understanding how to sketch quadratic graphs is also helpful.
Video β Solving quadratic inequalities
Watch this video to learn more about solving quadratic inequalities.
Inequalities compare expressions or terms. The expressions can be quadratic, which means the highest power of π₯ is 2.
Tom: How do you solve quadratic inequalities?
Inequalities compare expressions or terms.
They tell us which one is greater or smaller and whether they can be equal.
The expressions within inequalities can be quadratic, which means the highest power of π₯ is 2.
For example, π₯ squared add π₯ is greater than 6.
Just like solving a quadratic equation, the first step in solving a quadratic inequality is to re-arrange so that all the terms are on one side of the inequality.
Subtracting 6 from both sides gives π₯ squared add π₯ subtract 6 is greater than 0.
To solve the inequality, first find when this expression equals 0.
So, factorise into two brackets and then find when each bracket is equal to 0.
Doing this tells you that π₯ equals β3 or π₯ equals 2.
But we're not done yet!
You still need to find the solution to the inequality.
To do this, sketch the graph of the quadratic equation y equals π₯ squared add π₯ subtract 6.
Since the π₯-squared term has a positive coefficient, the graph has a U-shape, and we know it crosses the π₯-axis when y equals 0 at the two roots, β3 and 2.
The βgreater thanβ symbol tells you that the inequality will be true for all values of π₯ that make the expression greater than 0, so that means the values of π₯ for which the graph is above the π₯-axis.
This is the case when π₯ is less than β3 or π₯ is greater than 2, so the solution to the inequality π₯ squared add π₯ is greater than 6 is π₯ is less than β3 or π₯ is greater than 2.
If the inequality symbol was βless thanβ instead of βgreater thanβ, then the inequality would be true for all values between β3 and 2, where the graph is below the π₯-axis.
So the solution would be π₯ is greater than β3, but less than 2.
Let's recap.
To solve the quadratic inequality, first re-arrange so that the expression is greater than or less than 0.
Then, replace the inequality symbol with an equals sign so that the expression equals 0 and solve to find the root.
Finally, sketch the graph and consider the inequality symbol to decide which sections of the graph are needed.
If the inequality is true for values of π₯ either side of the roots, the solution will be two separate inequalities.
If the inequality is true for values of π₯ between the roots, the solution will be a double inequality, so it will be written in one line.
Check your understanding
How to sketch a quadratic graph
Sketching a quadratic graph from a quadratic inequality
Rearrange the inequality, if necessary, to be in the form ππ₯Β² + ππ₯ + π < 0 ( or β€ 0 or > 0 β₯ 0).
Next, sketch the graph π¦ = ππ₯Β² + ππ₯ + π. The graph is U-shaped.
Solve the equation ππ₯Β² + ππ₯ + π = 0 by factoriseTo express a number or expression as the product of its factors. For example, the number 6 can be factorised as 2 Γ 3, and 6π β 12 can be factorised as 6(π β 2). or using the formula to find the roots, π₯β and π₯β.
These values are where the graph crosses the π₯-axis, and π₯β and π₯β are the π₯ intercepts.
- The π¦-intercept is the value of π. This is where the graph crosses the π¦-axis.
- Given the shape of the graph and the intercepts, the graph can be sketched.
When solving a quadratic inequality, the sketch of the quadratic graph includes the value of the rootsAlthough this can be a general reference to any root such as a square root, cube root, 4th root and so on, this can also refer to the solution or solutions to an equation. That is the value or values of π₯ for which ππ₯Β² + ππ₯ + π = 0. , π₯-intercepts, to help identify the inequality solution.
The π¦-intercept is not essential in the sketch.
Follow the worked example below
GCSE exam-style questions

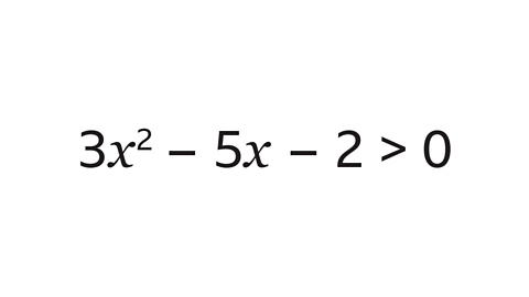
- Sketch the quadratic graph that will help to explain the solution to the quadratic inequality.

The graph π¦ = 3π₯Β² β 5π₯ β 2 crosses the π¦-axis at β2 and the π₯-axis at \(\frac{β1}{3} \) and 2.

The quadratic is already in the form ππ₯Β² + ππ₯ + π > 0 and does not need to be re-arranged.
The quadratic graph that needs to be sketched is
π¦ = 3π₯Β² β 5π₯ β 2.
Factorise 3π₯Β² β 5π₯ β 2 = 0.
(3π₯ + 1)(π₯ β 2) = 0Solve for π₯.
(3π₯ + 1) = 0 , (π₯ β 2) = 0
π₯ = \(\frac{β1}{3} \), π₯ = 2
The graph π¦ = 3π₯Β² β 5π₯ β 2 crosses the π¦-axis at β2 (0, β2) and the π₯-axis at \(\frac{β1}{3} \) (\(\frac{β1}{3} \), 0) and 2 (0, 2).
- Sketch the quadratic graph that will help to explain the solution to the quadratic inequality.

The graph π¦ = π₯Β² β 9π₯ + 8 crosses the π¦-axis at 8 (0, 8) and the π₯-axis at 1 (1, 0) and 8 (8, 0).

- The inequality has a negative π₯Β² term. Re-arrange the inequality so that the π₯Β² term is positive:
9π₯ β π₯Β² β€ 8
- Add π₯Β² to both sides and subtract 8 from both sides.
This gives 0 β€ π₯Β² β 9π₯ + 8 which is the same as
π₯Β² β 9π₯ + 8 β₯ 0.
The quadratic graph that needs to be sketched is
π¦ = π₯Β² β 9π₯ + 8.
- Factorise π₯Β² β 9π₯ + 8 = 0.
(π₯ β 1)(π₯ β 8) = 0
- Solve for π₯.
(π₯ β 1) = 0, (π₯ β 8) = 0
π₯ = 1 and π₯ = 8.
The graph π¦ = π₯Β² β 9π₯ + 8 crosses the π¦-axis at 8 (0, 8) and the π₯-axis at 1 (1, 0) and 8 (8, 0).
- Sketch the quadratic graph that will help to explain the solution to the quadratic inequality.

The graph π¦ = π₯Β² β 4π₯ β 12 crosses the π¦-axis at β12 and the π₯-axis at β2 and 6.

Rearrange the inequality π₯Β² β₯ 4π₯ β 12 so that it is in the form ππ₯Β² + ππ₯ + π > 0.
Subtract 4π₯ and 12 from each side.
This gives π₯Β² β 4π₯ β 12 β₯ 0.
The quadratic graph that needs to be sketched is
π¦ = π₯Β² β 4π₯ β 12.
- Factorise π₯Β² β 4π₯ β 12 = 0.
(π₯ β 6) (π₯ + 2) = 0
- Solve for π₯.
(π₯ β 6) = 0 and (π₯ + 2) = 0
π₯ = 6 and π₯ = β2
The graph π¦ = π₯Β² β 4π₯ β 12 crosses the π¦-axis at β12
(0, β12) and the π₯-axis at 6 (6, 0) and β2 (β2, 0).
How to solve a quadratic inequality by factorising
A quadratic inequality can be written in the form ππ₯Β² + ππ₯ + π < 0, where π, π and π are integerNumbers with no fraction or decimal part. They can be positive, negative or zero. 42, β 8 and 10,000 are examples of integers., and the inequality is < or β€ or > or β₯.
- Factorising to solve a quadratic inequality uses the same steps as factorising a quadratic equation.
- Rearrange, if necessary, to ππ₯Β² + ππ₯ + π < 0 ( or β€ 0, or > 0, or β₯ 0).
- Factorise the quadratic ππ₯Β² + ππ₯ + π = 0.
- Find the roots π₯β and π₯β (the values of π₯ for which each bracket = 0).
Sketch the quadratic graph to verify the solution to the quadratic inequality.
Show the solutions of the inequality.
For inequality < or β€, the solutions lie between the two roots π₯β and π₯β.
- The solution is written as a single inequality. π₯β < π₯ < π₯β or π₯β β€ π₯ β€ π₯β.
- The solution can be shown on a number line.
- The integer solutions can be listed (< the roots are not included, β€ the roots are included).
For inequality > or β₯, the solutions lie below and above the two roots π₯β and π₯β.
- The solution is two separate inequalities. π₯ < π₯β and π₯ > π₯β or π₯ β€ π₯β and π₯ β₯ π₯β.
- This solution can be shown on a number line.
- The integer solutions cannot be listed as there is an infinite number of possibilities.
Follow the worked example below
GCSE exam-style questions

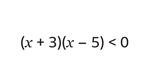
- Solve the inequality and list the integer solution in set notation.

π₯ = { β2, β1, 0, 1, 2, 3, 4}

The inequality has already been factorised:
(π₯ + 3) (π₯ β 5) < 0
Sketch the graph π¦ = (π₯ + 3) (π₯ β 5).
Solve (π₯ + 3) (π₯ β 5) = 0 for π₯.
(π₯ + 3) = 0 and (π₯ β 5) = 0
π₯ = β3 and π₯ = 5
The graph π¦ = (π₯ + 3) (π₯ β 5) crosses the π₯-axis at β3 and 5.
The graph crosses the π¦-axis at β15 (this does not have to be shown on the sketch as it is not essential for solving the inequality).
The solutions where π¦ < 0 lie between the two roots.
The roots ( β3 and 5) are not included.
This is shown by the empty circles at β3 and 5.
The integer solutions are β2, β1, 0, 1, 2, 3, 4.
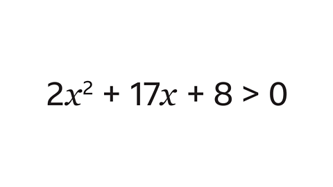
- Solve the inequality 2π₯Β² + 17π₯ + 8 > 0.

The solution is written as two inequalities:
π₯ < β8 and π₯ > β0Β·5.

The inequality 2π₯Β² + 17π₯ + 8 > 0 is already in the form of ππ₯Β² + ππ₯ + π > 0.
- Factorise 2π₯Β² + 17π₯ + 8.
2π₯Β² + 17π₯ + 8 = (2π₯ + 1)(π₯ +8)
- Solve (2π₯ + 1)(π₯ +8) = 0 for π₯.
(2π₯ + 1) = 0, (π₯ +8) = 0
π₯ = β0Β·5 and π₯ = β8
The graph π¦ = (2π₯ + 1)(π₯ +8) (also π¦ = 2π₯Β² + 17π₯ + 8) crosses the π₯-axis at β0Β·5 and β8.
The graph crosses the π¦-axis at 8. This does not have to be shown on the sketch as it is not essential for solving the inequality.
The solutions where π¦ > 0 lie below and above the two roots. The roots ( β8 and β0Β·5) are not included. This is shown by the empty circles at
β8 and β0Β·5.
The solution is written as two inequalities.
π₯ < β8 and π₯ > β0Β·5
- Show the solution to π₯Β² β 5π₯ < 24 on a number line.


- Rearrange the inequality π₯Β² β 5π₯ < 24 so that it is in the form π₯Β² + ππ₯ + π < 0.
Do this by subtracting 24 from each side of the inequality.
The inequality is now π₯Β² β 5π₯ β 24 < 0
- Now factorise π₯Β² β 5π₯ β 24.
π₯Β² β 5π₯ β 24 = (π₯ + 3)(π₯ β 8)
The graph that needs to be sketched is π¦ = π₯Β² β 5π₯ β 24.
- Solve (π₯ + 3)(π₯ β 8) = 0 for π₯.
(π₯ + 3) = 0, (π₯ β 8) = 0
π₯ = β3, π₯ = 8
The graph π¦ = π₯Β² β 5π₯ β 24, also π¦ = (π₯ + 3)(π₯ β 8), crosses the π₯-axis at β3 and 8.
The graph crosses the π¦-axis at β24. This does not have to be shown on the sketch as it is not essential for solving the inequality.
The solutions where π¦ < 0 lie between the two roots.
The roots are β3 and 8 are not included.
This is shown by the empty circles at β3 and 8.
- Write the solution as a single inequality. β3 < π₯ < 8.
This can also be presented on a number line.
The circles at β3 and 8 are empty as β3 and 8 are not included in the solution.
How to solve a quadratic inequality using the quadratic formula
A quadratic inequality can be written in the form ππ₯Β² + ππ₯ + π < 0, where π, π and π are integers, and the inequality is < or β€ or > or β₯.
Using the quadratic formula to solve a quadratic inequality uses the same steps as solving a quadratic equation.
Rearrange, if necessary, to ππ₯Β² + ππ₯ + π < 0 ( or β€ 0, or > 0, or β₯ 0) and use the quadratic formula to solve the quadratic equation ππ₯Β² + ππ₯ + π = 0.
Identify the values of the integers π, π and π.
Substitute the integers π, π and π into the formula π₯ = \(\frac{βπ Β± β(πΒ² β 4ππ)}{2π} \)
i) Place brackets around any negative values to make sure the calculation is processed correctly.
The formula will give the root(s) (π₯β and π₯β) for the equation ππ₯Β² + ππ₯ + π = 0.
- Use the roots π₯β and π₯β to write the solution as an inequality.
i) For quadratics < 0 or β€ 0, the solution is a single inequality between the two roots.
π₯β < π₯ < π₯β or π₯β β€ π₯ β€ π₯β
This solution can be shown on a number line.
The integer solutions can be listed.
ii) For quadratics > 0 or β₯ 0, the solution is two separate inequalities.
π₯ < π₯β and π₯ > π₯β or π₯ β€ π₯β and π₯ β₯ π₯β
This solution can be shown on a number line.
The integer solutions cannot be listed as there is an infinite number of possibilities.
Follow the worked example below
GCSE exam-style questions

- The roots of the equation π₯Β² β 5π₯ + 2 = 0 are 0Β·44 and 4Β·56.
The graph shows the solution to a quadratic inequality.
What inequality has been solved?

The graph shows the solution to π₯Β² β 5π₯ + 2 > 0.

The solution shown is π₯ < 0Β·44 and π₯ > 4Β·56.
The empty circles show that the roots are not included in the solution.
The solutions lie beyond the roots, the values of π¦ are greater than zero.
The graph shows the solution to π₯Β² β 5π₯ + 2 > 0.
- Solve the inequality π₯Β² β 9π₯ + 7 β€ 0.
Write the solution as an inequality.
0Β·86 β€ π₯ β€ 8Β·14

The inequality is already in the form ππ₯Β² + ππ₯ + π > 0,
π₯Β² β 9π₯ + 7 β€ 0.
Solve the equation π₯Β² β 9π₯ + 7 = 0 by using the quadratic formula.
- First, identify the values of the integers π, π and π.
π = 1, π = β 9 and π = 7.
- Substitute the integers 1, β 9 and 7 into the formula
π₯ = \(\frac{βπ Β± β(πΒ² β 4ππ)}{2π} \).
- Place brackets around the negative value (β 9) to make sure the calculation is processed correctly.
π₯ = \(\frac{9 Β± β((β 9Β²) β 4Γ1Γ7)}{2Γ1} \)
This shows the roots are 0Β·86 and 8Β·14.
Sketch the graph, the π₯-intercepts (the roots, 0Β·86 and 8Β·14) are where the curve crosses the π₯-axis.
The solution for π₯Β² β 9π₯ + 7 β€ 0 lies between the roots.
These are included as the inequalities are β€.
- Solve the quadratic inequality 0 β€ 2 β 4π₯Β² β 9π₯.
List the integer solution in set notation.
The solution is β2β5 β€ π₯ β€ 0β2.
The integer solution is π₯ = {β2, β1, 0}.

Rearrange the inequality so that the π₯Β² term is positive.
Add 4π₯Β² and 9π₯ to each side and subtract 2 from each side.
This gives 4π₯Β² + 9π₯ β 2 β€ 0.
- Next use the quadratic formula for the equation
4π₯Β² + 9π₯ β 2 = 0.
Identify the values of the integers π, π and π.
π = 4, π = 9 and π = β2
- Substitute the integers 4, 9 and β2 into the formula.
π₯ = \(\frac{βπ Β± β(πΒ² β 4ππ)}{2π} \)
- Place brackets around the negative value (β2) to make sure the calculation is processed correctly.
π₯ = \(\frac{β9 Β± β(9Β² β 4Γ4Γ(β2)}{2Γ4} \)
This shows the roots are β2Β·5 and 0Β·2.
Sketch the graph, (π¦ = 4π₯Β² + 9π₯ β 2), the π₯-intercepts (the roots, β2Β·5 and 0Β·2) are where the curve crosses the π₯-axis.
The solutions for 4π₯Β² + 9π₯ β 2 β€ 0 lie between the roots.
These are included as the inequalities are β€.
Quiz β Quadratic inequalities
Practise what you've learned about quadratic inequalities with this quiz.
Now you've revised quadratic inequalities, why not look at graphs of inequalities?
More on Algebra
Find out more by working through a topic
- count16 of 17

- count17 of 17

- count2 of 17
