Key points about iterative techniques

Iteration is a repeated mathematical process that produces increasingly accurate approximations of the solution to an equationA mathematical statement showing that two expressions are equal. The expressions are linked with the symbol =..
An equation can be re-arranged into an iterative formulaThe rule for iteration. The formula, for example, 𝑥ₙ ₊ ₁ = 5/2 + 𝑥ₙ uses 𝑥ₙ (the current value) to work out 𝑥ₙ ₊ ₁ (the next value). An initial value 𝑥₀ is substituted to find the next value 𝑥₁, then 𝑥₁ is substituted to find the next value 𝑥₂ and so on. The process is repeated until the solution is found to the required degree of accuracy. . There may be more than one way of doing this.
An iterative formula gives instructions on how to work out the next, better solution.
The process is repeated until the required degree of accuracy is achieved, usually a given number of significant figuresThe digits that give most meaning to a number. A number may be rounded to a given number of significant figures (s.f.). The 1st significant figure in a number is the first non-zero digit. Numbers may be rounded to a given number of significant figures. or decimal placesThe decimal fraction 0·275 is said to have three decimal places. A number may be rounded to a specific number of decimal places, eg 6·83715 to 2 d.p. (two decimal places) is 6·84..
Build your confidence in iteration by practising substitution into formulae and rearranging formulae.
Video – Higher – Solving equations using iteration
Watch this video to find out how iteration can be used to solve tricky equations, working with the iterative formula over and over to get closer to the true value of 𝑥.
Tom: How can iteration be used to solve tricky equations?
Not all equations can be solved using methods like factorisation.
For example, when they have solutions that aren't whole numbers.
In these cases, we can use iteration to find an approximate answer.
Iteration is when you repeat a process over and over.
Each output is put back into the process each time to gradually get closer to the exact answer.
When using iteration to solve an equation such as 𝑥 cubed add 3𝑥 equals 19, the first step is to re-arrange to make 𝑥 the subject.
For iteration, the x terms don't all have to be on one side of the equation.
You just need to make one of the 𝑥's the subject.
Let's focus on the 𝑥 that is cubed.
Why not pause the video and try making this 𝑥 the subject?
Subtract 3𝑥 from both sides to get 𝑥 cubed equals 19 subtract 3𝑥 and then cube root both sides to get 𝑥 equals the cube root of 19 subtract 3𝑥.
This is your iterative formula.
It's used to work out a sequence of numbers that get closer and closer to the true value of 𝑥.
Each new term is found using the previous term, or in other words, substituting the previous term, 𝑥n, into the formula gives you the next term, 𝑥n+1
Substituting 𝑥₀ into the formula gives you 𝑥₁
Substituting 𝑥₁ gives 𝑥₂, 𝑥₂ gives 𝑥₃, and so on.
Suppose 𝑥₀ equals 2
Substituting this into the formula gives 𝑥1, which equals 2·35133, and so on.
Then, without rounding your value, substitute 𝑥₁ into the formula to find 𝑥₂ equals 2·28598 et cetera.
To solve the equation to 3 decimal places, repeat this process until two iterations in a row give the same 𝑥n value to 3 decimal places.
𝑥₆ and 𝑥₇ both equal 2·296 to 3 decimal places, so this is the solution.
There's a handy calculator trick you can use to speed up this process and make sure you're always using exact answers.
First, type your 𝑥₀ value into your calculator and press equals.
The calculator will store the answer as 2.
Then type the iterative formula, replacing 𝑥n with ANS, which stands for ‘answer’.
Now, every time you press equals the calculator will recalculate the formula using the previous answer.
You should record each value as you go and stop when you get the same answer twice in a row to a given accuracy.
So, the solution is 2·296 to 3 decimal places as found previously.
Let's recap.
Iteration is used to solve tricky equations.
The iterative formula is found by rearranging the equation to make one of the 𝑥's the subject.
Type the initial value into your calculator and press equals.
Type the iterative formula into your calculator, replacing 𝑥n with the answer key, and finally press equals until you get the same value to the same degree of accuracy twice in a row.
Check your understanding
How to link equations and iterative formulae
The unknown variable in the equation (usually 𝑥) occurs more than once, for example in 𝑥³ + 5𝑥² = 2, there is an 𝑥³ and 𝑥² term.
Work out the iterative formulaThe rule for iteration. The formula, for example, 𝑥ₙ ₊ ₁ = 5/2 + 𝑥ₙ uses 𝑥ₙ (the current value) to work out 𝑥ₙ ₊ ₁ (the next value). An initial value 𝑥₀ is substituted to find the next value 𝑥₁, then 𝑥₁ is substituted to find the next value 𝑥₂ and so on. The process is repeated until the solution is found to the required degree of accuracy. by:
Re-arranging the equation so that the unknown, 𝑥, is equal to an expression that also includes the unknown. For example
𝑥 = ∛(2 –5𝑥²).Write the iterative formula so that the value to be substituteTo replace a variable with a number. is the current approximationA number or result that is not exact. An approximation is sufficiently close to the actual number for it to be useful. for the solution, 𝑥ₙ, and the answer, 𝑥ₙ₊₁ , is the next better approximation for the solution. For example 𝑥 = ∛(2 –5𝑥²) is written as
𝑥ₙ₊₁ = ∛(2 –5𝑥ₙ²).
The iterative formula can take different forms.
The iterative formula can be re-arranged to the original equation.
- Re-arrange the formula so that the unknown terms, 𝑥, 𝑥², 𝑥³ … are on the right-hand side.
- The equation may be equal to a value or to zero.
Find out more, along with worked examples
GCSE exam-style questions

- Show that the equation can be re-arranged into the iterative formula.


- Subtract 𝑥³ from each side.
This gives 10𝑥 = 7 – 𝑥³.
Next, divide both sides by 10 to get 𝑥 = \(\frac{7 – 𝑥³}{10} \) which is the same as 𝑥 = \(\frac{7}{10} \) – \(\frac{𝑥³}{10} \).
Using the correct notation, write the iterative formula as 𝑥ₙ₊₁ = \(\frac{7}{10} \) – \(\frac{𝑥ₙ³}{10} \).
- Show that the equation can be re-arranged into the iterative formula.


- First factorise the left-hand side of the equation
𝑥³ + 10𝑥 = 7.
This gives 𝑥(𝑥² + 10) = 7.
- Next, divide both sides by (𝑥² + 10).
The equation is now 𝑥 = \(\frac{7}{𝑥² + 10} \).
- Write the equation as an iterative formula using the notation 𝑥ₙ₊₁ and 𝑥ₙ.
The iterative formula is 𝑥ₙ₊₁ = \(\frac{7}{𝑥ₙ²+ 10} \).
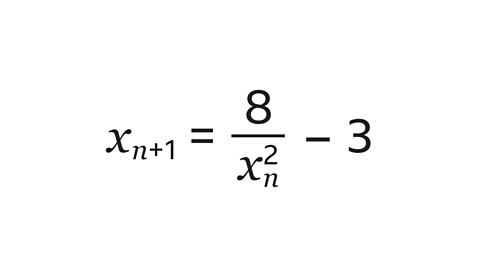
- Work out the equation on which the iterative formula is based.


Re-arrange the iterative formula 𝑥ₙ₊₁ = \(\frac{8}{𝑥ₙ²} \) – 3 by writing the formula without the notation, this is 𝑥 = \(\frac{8}{𝑥²} \) – 3.
Re-arrange this equation so that all the unknown terms on the left-hand side.
Add 3 to both sides, giving 𝑥 + 3 = \(\frac{8}{𝑥ₙ²} \).
Multiply both sides by 𝑥², giving 𝑥³ + 3𝑥² = 8.
Subtract 8 from each side to give the equation that the iterative formula was based on: 𝑥³ + 3𝑥² – 8 = 0.
How to use iteration to find an approximate solution to an equation
When an initial value is not given to start the iterative process, it is helpful to be able to identify two values that the solutionA value that satisfies an equation. lies between.
Finding the two values that the solution to an equation lies between
- Re-arrange the equation so it equals zero (if necessary).
- Substitute values until you find consecutive results where the sign changes, so one value gives a positive result and the other a negative result.
Alternatively, you can use a table of values to identify the interval containing the solution.
The iterative formula is written so that the value to be substituted is the current approximation for the solution, 𝑥ₙThe notation for an identified value. 𝑥₀ is the initial value, each next value, in order is 𝑥₁, 𝑥₂, 𝑥₃, and so on, and the answer 𝑥ₙ₊₁ is the next better approximation for the solution.
Using an iterative formula
- Start by substituting an initial value of 𝑥₀ to get the value of 𝑥₁.
- Next, substitute 𝑥₁ (without rounding) to get the value of 𝑥₂.
- Then, substitute 𝑥₂ (without rounding) to get the value of 𝑥₃.
- Repeat the process until the degree of accuracy required has been achieved.
On a calculator it is helpful to use the ANS button to update the calculation. It's important to round the final answer only.
Follow the worked examples below
GCSE exam-style questions

- Show that a solution to the equation 𝑥³ – 8𝑥 + 11 = 0 lies between –4 and –3.


Substitute the two values into the expression
𝑥³ – 8𝑥 + 11.
When 𝑥 = –4, ( –4)³ – 8 × ( –4) + 11 = –21.
When 𝑥 = –3, ( –3)³ – 8 × ( –3) + 11 = 8.
When 𝑥 = –3, the value is positive and when 𝑥 = –4, the value is negative.
There is a change of sign so a solution to the equation
𝑥³ – 8𝑥 + 11 = 0 lies between –4 and –3.
This can be written as the inequality –4 < 𝑥 < –3.
- Using a starting value of 𝑥₀ = 5, find the solution to 4 significant figures.

11·92 to 4 s.f.

- Substitute the value, 5, into the formula.
The value of 𝑥₁ is 11·8, which rounds to 11·80 to 4 s.f.
Replay the calculation and use the ANS button to find 𝑥₂, 11·91525423728… , which rounds to 11·92 to 4 s.f.
Replay again and use the ANS button to find 𝑥₃, 11·91607974…, which rounds to 11·92 to 4 s.f.
Two consecutive results, 𝑥₂ and 𝑥₃, both round to the same value so the solution is 11·92 to 4 s.f.
- A series of values has been calculated from an iterative formula.
Find the solution to the greatest degree of accuracy possible.
What is the earliest point at which this solution can be stated?

𝑥₇

The degree of accuracy is provided by two consecutive results that round to the same value.
For the formula given with the starting value 𝑥₀ = 0·5, this occurs first with the values of 𝑥₀ and 𝑥₁ (one decimal place, 0·5), next with the values
𝑥₃ and 𝑥₄ (two decimal places, 0·45), and then with the value 𝑥₅ and 𝑥₆ (three decimal places, 0·453).
Finally, the values 𝑥₆ and 𝑥₇ round to 0·4534 to 4 d.p.
For the set of values provided, the greatest degree of accuracy for the solution is 0·4534 to 4 decimal places, and this can be stated following the calculation of 𝑥₇.
Quiz – Iterative techniques
Practise what you've learned about iterative techniques with this quiz.
Now you've revised iterative techniques, why not look at formulae?
More on Algebra
Find out more by working through a topic
- count17 of 17

- count2 of 17

- count3 of 17
